研究背景
神经胶质瘤是起源于大脑或脊柱神经胶质细胞的肿瘤。神经胶质瘤约占所有脑肿瘤的30%,其中80%是恶性的。神经胶质瘤通常不会通过血液循环转移,但可以通过脑脊液扩散,是最恶性和预后最差的肿瘤之一。目前神经胶质瘤的诊断手段和预后评估主要以影像学为主,但由于其浸润性生长的特点,影像学不能完全作为评估依据。

图片来自: Circulating Biomarkers for Glioma
精准循环生物标志物在人群筛查、肿瘤亚型分类、肿瘤状态监测以及基于肿瘤基因分型的个体化治疗传递方面具有潜在的临床应用。但目前尚无经过验证的循环生物标志物测试用于胶质瘤患者。已报道的一些循环因子,包括循环肿瘤细胞、游离DNA、微小RNA、外泌体以及来自外周血和脑脊液的蛋白质,但结果各异。因此,发现和鉴定全新生物标志物对神经胶质瘤的诊断、治疗和预后评估极为重要。此外,早期诊断还可以帮助对尚未转移扩散的较小肿瘤实施更有效的治疗。改善早期诊断可促进患者参与临床试验,并为将来获得有效的疾病治疗做准备。

该研究团队实验室也经常使用其他蛋白质组学/免疫检测技术,如质谱(LC-MS)和酶联免疫吸附法(ELISA)来发现生物标志物,因此可系统客观地比较PEA、ELISA和LC-MS的技术特点及适用性。
作者评述

与其他技术相比,PEA是一种新的、超灵敏、高特异性和精确检测技术,不需要样品预处理,可以在最小的样品体积要求下实现高通量多重检测。这些特性使得PEA在基于液体活检的生物标志物发现应用中优于LC/MS/MS和ELISA方法。

研究队列样本包括:30例胶质瘤(20例胶质母细胞瘤;5例间变性星形细胞瘤,5例间变性少突胶质细胞瘤),和20例脑膜瘤(作为对照)。该项目旨在分析血浆蛋白质检测数据,以确定能够区分胶质瘤和脑膜瘤的蛋白质或蛋白组合,或发现与临床和分子变化相关的蛋白质。在项目开始前,研究团队对PEA 技术进行了验证,发现该技术高度可重复,其中99%以上蛋白质的CV<20%。Olink 提供了包含50例患者(血浆样本)检测结果的excel 文件,每个样本有3000个定量蛋白质(约150,000个数据点)。
研究参与者的临床信息
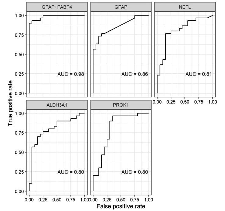
通过进一步分析发现,8种血浆蛋白质(GFAP, NEFL, EDDM3B, PROK1, MMP3, CTRL, GP2, SPINT3)在胶质瘤(与脑膜瘤对比)患者中升高;4种血浆蛋白质(FABP4, ALDH3A1, IL-12B和OXT)在胶质瘤患者中降低。

火山图显示了8个上调(绿色)和4个下调(红色)的蛋白质,其中GFAP是上调水平最高的蛋白


GFAP和FABP4联合用于区分胶质瘤(红圈),脑膜瘤(蓝点),间变性星形细胞瘤(红色交叉菱形)和间变性少突胶质细胞瘤(红色双菱形)
PEA技术作为一种新的蛋白质检测技术,可用于精准循环生物标志物的发现。在临床上,通过生物标志物早筛并尽早发现神经胶质瘤是非常有意义的,其能够显著提高有效治疗的机会。可靠的胶质瘤生物标志物也可以为患者提供治疗方案疗效预测。本研究发现了一些新的神经胶质瘤标志物,当单独或联合使用时有望改善胶质瘤患者的临床护理结果。为了进一步了解这些标志物的潜在可用性,需要在更大的队列样本中进一步验证。
参考资料:
1. Circulating Biomarkers for Glioma: A Review. Neurosurgery 88(3):p E221-E230, March 2021.
2. Discovery of novel glioma serum biomarkers by proximity extension assay. Clin Proteom 20, 12 (2023).