转自Olink Proteomics


(A) 对参与者的登记、分配、随访和分析的排序流程图。侧图显示了每个平台收集的高纤维(Fi)和高发酵(Fe)饮食组的参与者数量。*2名参与者被特殊要求分配到高纤维组中,而不是随机分配的。

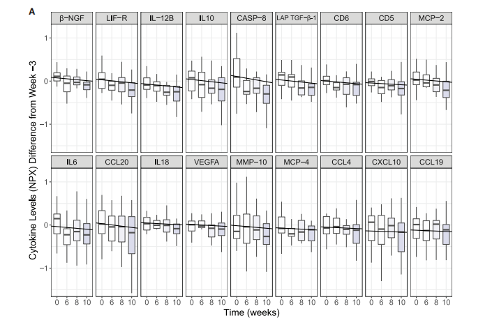
注:NPX是指Olink蛋白质组学的log2量表中使用的归一化蛋白表达。
参考文献:Gut-microbiota-targeted diets modulate human immune status Wastyk, Hannah C. et al.Cell, Volume 184, Issue 16, 4137 - 4153.e14

该试剂盒与炎症相关的细胞因子,涉及炎症反应、细胞因子刺激反应、凋亡等生物学过程
该Panel包含的蛋白主要与癌症、神经系统、炎症、心血管、肺部疾病、感染性疾病相关

截止至发稿日,已有237篇文章采用Inflammation Panel多重细胞因子检测平台,广泛应用于神经系统、心血管、内分泌、炎症、肿瘤、感染和免疫类疾病等。这237篇文章中,有接近半数的文章于人群队列研究和临床试验密切相关,有巨大临床转化应用潜力。