转自Olink Proteomics
目前基于Olink提供的panel已经应用于神经病学、炎症、肿瘤学、免疫肿瘤学、心血管系统等多种疾病,并且针对不同的疾病类型,Olink优化了不同的panel,分别在心血管代谢、心血管、发育、免疫反应、肿瘤免疫、炎症、代谢、神经系统疾病、肿瘤、器官损伤等不同的场景进行应用。其中基于微流控qPCR的每一个Target 96 panel都可以检测96种蛋白,您可以按照感兴趣的应用进行panel search和匹配
相对应的Olink在NGS平台上分别优化了 Explore-1536 panel,用来检测1536种蛋白;以及4个384-plex蛋白,分别用来有侧重地研究诸如肿瘤、感染、神经、心血管代谢等领域,基于上述的panel已经发表近800篇高分文章
Olink蛋白质组学应用方向:Olink蛋白质组学常应用在Develop diagnostics biomarkers(诊断研发)、Biomarker Discovery in Drug (药物研发)Development Process、Improve understanding of disease biology(基础研究)、New applications (新的应用开发),重大疾病的研究(七大疾病类型和七大生理过程)、医学转化等等


心血管疾病是Olink技术问世以后应用较多的领域,对心血管疾病相关的风险评估,早期筛查和治疗方法的研究也是欧美老龄化社会的研究热点,在国内老龄化进程中也越来越有社会意义。
JAMA Cardiol-中国CKB队列揭示90多种血浆蛋白标志物与肥胖及心脏代谢风险的相关性。

概述:众所周知,肥胖是心脏代谢疾病的主要危险因素之一,但二者之间的关联机制尚不明确。科研界曾提出包括炎症、脂肪因子信号传导、血管生成和胰岛素抵抗等在内的多种可能机制。例如,对于冠心病(CHD),白细胞介素6(IL6)相关的炎症信号通路被认为在动脉粥样硬化中起着重要作用。而多项孟德尔随机研究报告了体重指数(BMI)与白介素,趋化因子和生长因子等炎症因子呈正相关。此外几项随机试验证实,通过饮食和运动干预减肥可降低白介素(IL6,IL18和IL1)及的水平。然而,肥胖与其他更多的蛋白质生物标志物间的相关性尚未得到充分的表征。了解肥胖对这些生物标志物的影响可能有助于评估肥胖与疾病之间的介体和途径,从而发现新的治疗靶标。
中国慢性病前瞻性研究项目(China Kadoorie Biobank,CKB)的李立明和陈铮鸣教授团队利用Olink技术对中国CKB的一个亚组(包含628名中国人群样本)进行了孟德尔随机化研究,以探索肥胖与90多种炎症及免疫相关血浆蛋白生物标志物的潜在关联,以及这些蛋白质生物标志物与CVD风险的关联性。
该研究结果发表在学术期刊《JAMA Cardiology》(影响因子:12.8)上,题为《Associations of Adiposity, Circulating Protein Biomarkers, and Risk of Major Vascular Diseases》。该研究结果表明,肥胖指标BMI与血浆蛋白生物标志物的遗传关联与观察性关联一致,且与27种血浆蛋白生物标志物呈正相关,与3种蛋白呈负相关。尤其是白介素6,白介素18,单核细胞趋化蛋白-1,单核细胞趋化蛋白-3,TNF相关凋亡诱导配体和肝细胞生长因子。此外,其中多种蛋白标志物还与心血管疾病风险相关,这可能部分解释了肥胖与心血管疾病之间的关系。
CKB是一项前瞻性队列研究,研究对象是2004年6月至2008年7月间从中国10个地理区域(5个城市和5个农村地区)招募的512715名30至79岁的成年人。本项研究中的研究人群是通过简单随机抽样和全基因组基因分型数据从基线队列中选择了700名参与者的亚队列。在亚人群中,有72名参与者未通过质量控制而被排除在外,剩下628名参与者参加了本研究(如图1)。
研究团队跟踪了本研究参与者中10年中发生的心血管疾病事件,并利用Olink免疫肿瘤panel检测了92种炎症及免疫相关血浆蛋白生物标志物,这些蛋白质标记物包括已知或怀疑与促进和抑制肿瘤免疫力,趋化性,血管和组织重塑,细胞凋亡和细胞杀伤以及新陈代谢和自噬有关的蛋白标志物,此外还结合了已公布数据库里的蛋白组荟萃分析结果。基因分型数据是使用定制设计的800K-SNP阵列进行的。
在涉及628名参与者的观察性分析中,研究团队使用线性回归来评估肥胖与蛋白质标记物的关联。在孟德尔随机分析中,研究团队使用个体水平的数据,通过两阶段最小二乘估计器方法计算了BMI与蛋白质组学的遗传估计关联。根据测得的蛋白质水平计算出每3.4个高点BMI(对应于整个CKB队列中的1-SD基线BMI)的遗传估计关联,以便与观察性BMI进行比较。在对蛋白质水平与CVD风险的关联进行前瞻性分析时,使用Cox比例风险模型估算每个1-SD高蛋白标记物的血管疾病风险比(HRs)。

图1:研究个体入组流程图

BMI与血浆蛋白质组学的观察性关联
经过矫正后,确定了BMI与90种蛋白质生物标记物中的30种存在显著关联(5%FDR,图2A)。在检查关联的形状时,白介素(IL6,IL12和IL18),趋化因子(趋化因子配体3,单核细胞趋化蛋白-1和单核细胞趋化蛋白-3),肿瘤坏死因子(TNF)和肿瘤坏死因子受体,肿瘤坏死因子相关凋亡诱导配体(TRAIL)和肿瘤坏死因子相关凋亡诱导剂(TWEAK),生长因子(集落刺激因子)-1(CSF1),肝细胞生长因子(HGF)和血管内皮生长因子A与BMI的关联近似线性。
BMI与血浆蛋白质组学的遗传性关联
在遗传分析中,观察性分析中的30种与BMI相关的蛋白质生物标记物(在5%FDR时)遗传上也显示出相似的关联(图2B)。
血浆蛋白质组学与心血管疾病的关联
在30种与BMI相关的蛋白质生物标记物中,有10种蛋白质与CKB中发生心血管疾病事件的风险相关(图2C)。在这10种蛋白质中,BMI与蛋白质之间的关联与具有血管事件的蛋白质之间的结果方向一致。换句话说,当BMI与蛋白质水平的改变相关时,相同蛋白质的相应水平的改变与CVD的风险较高相关。

图2.观察性和遗传工具化体重指数(BMI)与血浆蛋白组及发生心血管事件风险的关联
Reference:Pang Y, Kartsonaki C, Lv J, et al. Associations of Adiposity, Circulating Protein Biomarkers, and Risk of Major Vascular Diseases[J]. JAMA cardiology, 2020.https://jamanetwork.com/journals/jamacardiology/fullarticle/2773388User License (CC BY 4.0)


神经系统疾病的诊断和治疗的新方法开发是近年来的热点,Olink新一代蛋白质组技术对血浆中比较普遍的神经相关的低丰度蛋白有着非常好的检出率,所以近年来越来越多的神经系统疾病研究引入了PEA技术。去年欧洲的科学家发起了全球神经系统疾病研究的CORAL联盟(Community using Olink for Research on Alzheimer’s disease and other neurological diseases,www.olink.com/our-community/coral/),采用Olink为主要技术进行阿尔茨海默和帕金森等疾病的诊疗方法研究。
2020年叶玉如院士团队借助Olink技术发现19-plex血浆蛋白组panel,可更准确地筛查并分期阿尔茨海默症。

《Alzheimer’s Dement》:基于Olink的大规模血浆蛋白质组学分析发现并确定了用于阿尔茨海默症筛查和分期的高性能生物标志物组合
摘要:同时使用多种生物标志物来确定疾病状态,通常被称为“生物标志物组合”,是一种充分利用蛋白标志物的有效方法。在这项研究中,研究者通过使用Olink PEA技术对筛选和验证AD队列样本中的1160种血浆蛋白进行了分析(是迄今为止最全面的AD血浆蛋白质组研究),从而系统地研究了AD的血浆蛋白质组。
研究者鉴定出19种与AD相关的血浆核心蛋白标志物,并据此开发了生物标志物模型,可准确对AD进行鉴定并确定AD患者的疾病严重程度。与现有的用于AD分类的血液生物标志物(如血浆ATN生物标志物,血浆p-tau181和p-tau217等)相比,该研究鉴定出的19蛋白标志物组合准确性更高,AUC可达 0.98,且其中7个蛋白与AD发展阶段相关,可用于AD疾病分期。
概述:目前,临床上评估阿尔茨海默氏病(AD)主要采用“ATN”生物标志物:淀粉样β(Aβ)沉积(“A”),神经原纤维触角蛋白(病理性Tau,“T”)和神经衰退(“N”),然而其需要进行侵害性脑脊液采样以进行蛋白质测量和通过断层扫描(PET)进行昂贵的成像,极大地限制了其在人群规模筛查AD中的应用。
最近发现的基于血液的AD生物标志物(即血浆Aβ42/40 比率、tau/磷酸化tau[p-tau]和神经丝轻多肽 [NfL])提高了 AD的替代性、侵入性较小的基于血液检测的可能性。特别是血浆 p-tau181 和p-tau217可以较准确地对AD进行分类,并与AD特定的脑部病变(包括tau磷酸化和Aβ沉积)相关。此外,横断面和纵向研究表明血浆p-tau和NfL可以指示疾病进展。尽管如此,由于它们在AD进展过程中相对恒定,这些血液生物标志物可能没法区分AD不同阶段。此外,尽管一些先导筛查研究确定了一些与AD相关,具有预测价值的血液蛋白标志物,但目前尚不清楚现有的研究是否能够充分反映AD血液蛋白质组的完整特征。因此,需要全面的蛋白组分析以阐明AD血液的蛋白质特征并描述疾病的途径和阶段。
基于Olink超灵敏和高通量蛋白质测量技术的最新进展使得对血液进行大规模蛋白质组学分析,从而鉴定出新的生物标志物成为可能。在这项研究中,研究者使用了Olink的邻近延伸分析(PEA)技术来系统地评估AD血浆的蛋白质图谱。具体而言,在香港的中国AD队列(以下简称“发现队列”)中,由106位AD患者和74位健康对照(HC)组成,并且都含有他们的人口统计学数据,认知指标,脑区域容量和血浆AD生物标志物水平(即,Aβ42/ 40比值,tau,p-tau181和NfL)可用。
基于Olink技术,研究者对发现队列每个样本中的1160种血浆蛋白进行了定量检测,并揭示了429种血浆蛋白在AD患者中具有显著性变化。研究者进一步选择了19种代表性“枢纽蛋白”,组合成一个AD评分系统,该评分系统可以准确地鉴定临床AD(曲线下面积AUC=0.9690-0.9816)和相关的内表型,并在独立队列中进行了验证。此外,研究者还揭示了某些血浆生物标志物蛋白在AD的特定阶段有显著差异。因此,通过该研究,研究者确定了AD血浆蛋白质组的综合概况,并建立了针对AD的高性能血浆生物标志物组合,这为开发基于血液的AD筛查和分期测试奠定了至关重要的基础。

研究方案(图1):1.入组队列:1.1发现队列:招募了2013年4月至2018年2月在香港中文大学威尔斯亲王医院专科门诊就诊的180名≥60岁的香港市民,其中分别含106例AD患者和74例HC。AD的临床诊断是根据美国精神病学协会《精神疾病诊断和统计手册》第五版(DSM-5)建立的。所有参与者均进行了病史评估,临床评估,使用蒙特利尔认知评估方法(MoCA)进行认知和功能评估及通过磁共振成像(MRI)进行神经成像评估。 1.2 验证队列:招募了从2018年2月至2020年3月到伊丽莎白女王医院就诊的97名≥60岁的香港市民,包括36位AD患者和61位HC。验证队列参与者接受了医学史评估,临床评估,MoCA认知和功能评估以及MRI进行的神经影像评估。AD的临床诊断为基于美国国家老龄学会和老年痴呆症协会(NIA-AA)2011年修订标准。

图1.本研究发现和验证基本方案

2.1 血浆蛋白组分析:由Olink瑞典实验室使用PEA技术在20微升血浆中检测1160种蛋白标志物的水平,测定的血浆蛋白水平以标准化的蛋白表达单位(NPX值)表示。
2.2 血浆中Aβ42/ 40比率,tau,p-tau181和NfL水平:由Quanterix Accelerator Lab分别使用Quanterix NF-light SIMOA试剂盒(103186),Neurology 3-Plex A试剂盒(101995),P-Tau 181 Advantage V2试剂盒(103714)在350微升血浆中测量获得。
2.3 通过酶联免疫吸附测定进一步验证选定的血浆蛋白。

在分析前,使用R GenABEL软件包(v1.8)中的rntransform函数对蛋白质组数据进行标准化处理。在校正了年龄,性别,心血管疾病史后,根据标准化蛋白质水平与AD表型之间的关联确定血浆蛋白质组中与AD相关的改变,FDR调整后P值小于0.05的血浆蛋白被视为与AD相关的血浆蛋白。

血浆蛋白之间的成对相关性是通过使用R中的cor函数计算Pearson相关系数(r)来确定的。相关矩阵中与AD相关的血浆蛋白通过使用dist函数的层次聚集聚类进行聚类,产生19个主要蛋白质簇。每个簇中与AD相关性最高的血浆蛋白(即P值最低的蛋白)称为“中心”蛋白。

使用DAVID Bioinformatics Resources对候选血浆蛋白进行了基因本体论(GO)分析。参照BLUEPRINT Genomatix浏览器中相应细胞类型的转录组图谱,对外周血系统中的细胞类型进行了富集分析。

在随后的分析中,仅包括可检测到19种蛋白质生物标志物组和血浆ATN生物标志物的个人。通过使用R pROC 包中的auc函数计算曲线下面积 (AUC) 来评估基于单个血浆蛋白的AD分类的准确性。使用optimal.cutpoints函数和R OptimalCutpoints 中的Youden 方法确定单个蛋白质的临界值以及相应的灵敏度和特异性。
对于使用多个候选因子的AD分类,建立了三个模型,分别根据年龄,性别和血浆水平(1)Aβ42/ 40比值,tau和NfL;(2)19种蛋白质生物标志物组;(3) Aβ42/40 比率、tau 和 NfL 加上 19 种蛋白质生物标志物组合。通过使用DeLong方法使用R pROC软件包中的auc函数计算AUC,比较了两个模型之间的分类准确性。

使用线性回归模型计算个体AD分类评分,该模型包括年龄,性别和19蛋白生物标志物组的血浆水平作为候选因素。通过将相应的因子和表型信息拟合到逻辑回归模型中,确定候选因子的加权系数(β)和截距(ε)。根据AD分类评分的分布指定AD严重程度水平:评分为<0.3、0.3-0.8和> 0.8的个体分别被判定为为正常,轻度AD和重度AD。

AD相关内表型与候选血浆蛋白之间的关联显著性以及由 19 种蛋白标志物模型确定的AD严重程度水平由线性回归分析确定。显著性水平设置为P <0.05。

结果解析:
1)AD患者差异表达血浆蛋白的鉴定
血浆Aβ42/40比率,tau水平和NfL水平(统称为血浆ATN生物标志物)是AD患者血液中发生变化的最知名蛋白标志物。因此,研究者首先使用SIMOA数字生物标记物检测平台在发现队列中测量了ATN的水平。
与先前欧洲人群队列研究发现一致,发现队列人群中AD患者的血浆Aβ42/ 40比值较低,血浆NfL水平高于HCs(P <0.001,图2A,C),而血浆 tau 水平在各组之间没有显著差异(P = 0.830,图 2B)。这些结果表明,血浆ATN生物标志物在中国AD患者中表现出一致的变化。

图2.中国香港阿尔茨海默氏病发现队列中血浆ATN生物标志物的变化
随后,研究者使用Olink PEA技术鉴定了哪些血浆蛋白在AD中差异表达。在1160种经测定的血浆蛋白中,发现共有429种在AD患者中差异表达,其中包括61种显著上调的蛋白和368种显著下调的蛋白(FDR调整后的P <0.05;图3A,B)。随后,研究者使用ELISA和SIMOA平台对基于PEA鉴定出的CASP-3,CD8A和NfL进行了交叉验证(图4)。此外,荟萃分析显示,在既往欧洲人群研究中已报告了429种与AD相关的血浆蛋白中的77种,其中56种在AD患者中一直发生变化
具体来说,为了检查在不同人种人群中是否可以观察到一致的变化,研究者将基于香港市民的结果与瑞典轻度认知障碍 (MCI) 队列中的蛋白质组学结果进行了比较(即(BioFINDER),使用相同Olink技术在早期AD患者中测定了270种血浆蛋白)。两项研究中同时检测到的大多数血浆蛋白均显示出相似的趋势(最大r2 = 0.31,P <0.0001;图5B)。
对本文确定的与AD相关的血浆蛋白的进一步检查显示,两个队列中蛋白水平的变化之间具有更强的相关性(最大r2 = 0.49,P <0.0001;图5C)。综上所述,这些结果支持本文鉴定的与AD相关的血浆蛋白在不同蛋白质检测平台,不同种族和疾病阶段之间是高度可再现的。

图3.阿尔茨海默氏病(AD)患者血浆蛋白质组的改变。A,健康对照(HCs)和AD患者中与AD相关血浆蛋白组的前15个上调和下调的热图。B,火山图显示了1160种血浆蛋白之间的关联。蓝色和红色的点分别表示AD患者与HCs相比蛋白被下调或上调。点的大小与P值成正比(以log10的比例表示),并标记出前五种上调和下调的血浆蛋白。C,AD相关血浆蛋白的代表性基因本体论(GO)。下调和上调的血浆蛋白的GO项分别以蓝色和红色表示。D,每种生物类别中血浆蛋白不变(灰色),下调(蓝色)和上调(红色)的比例。E,AD相关血浆蛋白的细胞来源。

图4.候选血浆蛋白的跨平台验证(A,C)通过Olink PEA技术和ELISA检测血浆CASP-3及CD8A之间的相关性水平,(B,D)通过PEA(左)和ELISA(右)检测的不同表型分组中CASP-3及CD8A血浆水平,(E)分别由Olink PEA技术和SIMOA测得的神经丝轻多肽(NfL)血浆水平之间的相关性,(F)通过PEA(左)和SIMOA(右)检测的不同表型分组中NFL的血浆水平。

图5.基于中国香港市民AD队列与瑞典轻度认知障碍 (MCI) 队列中的蛋白质组学结果比较
2)19种蛋白生物标志物组合可代表整个AD血浆蛋白质组
共表达网络分析或GO分析可以将许多功能相关的血浆蛋白分类为簇或途径,从而能够选择代表整个血浆蛋白质组的蛋白子集。研究者因此进行了相关网络分析,检查了429种AD相关血浆蛋白的整合模式,然后对所得相关矩阵进行了层次聚集聚类分析。结果共产生了19个与AD相关的血浆蛋白簇(图6A),每个簇都与独特的生物学过程和独特的细胞类型表达谱相关。研究者随后选择了与AD关联最紧密的蛋白标志物作为19个簇中的“中心”代表性蛋白标志物。
值得注意的是,这19种中心蛋白标志物与血浆ATN生物标志物的相关性分析显示,其中有10种蛋白标志物与Aβ42/ 40比率,tau水平或NfL水平相关,而其余9种蛋白与它们中的任何一种都不相关(图6C)。因此,研究者确定了19个血浆中心蛋白标志物,它们可同时捕获AD血浆蛋白质组中的ATN依赖性和ATN非依赖性变化,并代表AD患者的整体血浆蛋白质组学特征。

图6.识别与阿尔茨海默氏病(AD)相关的血浆中心蛋白标志物。B,与AD相关的血浆中心蛋白标志物的相关网络图。与群集相邻的括号中的数字表示相应的群集编号。点的大小与P值成正比(以log10为单位)。黄点表示19种血浆中枢蛋白,蓝点和红点分别表示与健康对照组(HCs)相比下调和上调的AD患者蛋白。边缘代表各个AD相关血浆蛋白和血浆中枢蛋白之间的成对相关性,线宽与相关系数成正比。C,在每个簇中鉴定出19种血浆中枢蛋白。红色和蓝色分别指示血浆中枢蛋白的上调和下调。D,429种AD相关血浆蛋白与血浆ATN生物标志物之间的相关性(即淀粉样β[Aβ] 42/40比,tau水平和神经丝轻多肽[NfL]水平)。每行代表血浆ATN生物标志物,每列代表429种AD相关血浆蛋白中的一种。红色和蓝色表示显着(P <0.05)和不显着的相关性分别在蛋白质对之间(P> 0.05)。正方形表示基于与血浆ATN生物标志物的相关性的类别,上面相应的数字表示每个类别中的血浆蛋白数量,下面列出了血浆中枢蛋白。
3)由19种中心蛋白生物标志物建立的整合模型可准确区分AD
血浆ATN生物标志物是AD分类中表征最充分,研究最广泛的血液蛋白候选物。在发现队列中,基于血浆ATN生物标志物AD分类的最大准确性为87.35%(图7A,B)。鉴于上述19种中心蛋白标志物在AD血浆中一直发生变化,且与患者的年龄,性别,AD药物使用或载脂蛋白E(APOE)ε4基因型无关,因此研究者检查了它们是否也可用于对 AD 进行分类。
研究者根据19种核心蛋白的水平建立了AD分类的综合模型,应用该模型为每个个体生成AD分类评分,结果表明该模型在区分AD患者与HC的性能上优于血浆ATN生物标志物的模型,AUC高达0.9816(图7A–C),可以准确区分AD患者和HC。此外,将这三种血浆ATN生物标志物整合到19蛋白模型中并不能提高AD分类的准确性,这与之前的结果一致的,即19蛋白组合可捕获AD血浆中ATN依赖性和ATN非依赖性变化(图7D)。
有趣的是,19种血浆核心蛋白中有7种与认知能力显著相关,表明在AD进展中可能发挥作用。相应地,19蛋白模型的分类准确性与AD患者的MoCA评分相关。因此,研究者随后检查了19蛋白模型预测与AD相关的内表型能力。结果显示,大多数HC的AD分类评分均低于0.3,而AD患者的AD分类评分均高于0.8(图7C)。因此,研究者将得分<0.3、0.3-0.8或> 0.8的个体分别分类为正常,轻度AD和重度AD。该模型评分分级的严重程度与认知能力(图7D)以及海马体积的减少(图7E)和灰质体积(图7F)密切相关。
此外,被分类为患有严重AD的个体表现出升高的白细胞计数(图7G),表明炎症更为明显。综上所述,这些结果表明基于19种蛋白质生物标志物组合的整合模型不仅可以准确地区分AD患者和HCs,还可以反映与AD相关的内表型。因此,该模型可以作为开发个性化,高性能AD筛选和监控策略的基础。

图7.根据血浆ATN生物标志物和19蛋白生物标志物组对阿尔茨海默氏病(AD)进行分类。A,ROC曲线显示基于不同候选蛋白质生物标记物血浆水平的AD分类结果。B,条形图,显示了根据中国香港AD发现队列中的三种AD分类模型在ROC曲线下的面积(AUC = 0.8735、0.9816和0.9891)。C,按表型分层的AD分类评分的分布,根据AD分类分数的分布指定AD严重程度水平(正常,<0.3;轻度,0.3-0.8;严重,>0.8)。D–G,中国香港AD发现队列中个体指定的AD严重程度水平与与AD相关的内表型之间的关联。D,由蒙特利尔认知评估(MoCA)得分指示的个人认知表现与指定的AD严重程度之间的关联。E,F,指定的AD严重性水平与脑容量数据之间的关联。E,海马体积比较。F,灰质量比较。G,白细胞计数与指定的AD严重性水平之间的关联。
4)在独立队列中验证19个蛋白生物标志物组合
接下来,为了验证该19个蛋白生物标志物组合是否可用于AD筛查,研究者在独立的“验证队列”中测量了19种核心蛋白的血浆浓度(图8A)。其中6种蛋白质:KLK4(图8B),LIF-R(图8C),CASP-3(图8D),NELL1(图8E),CD164(图8F)和LYN(图8G)经过交叉验证,在验证队列AD患者中表现出与在发现队列中观察到的一致显著改变。此外,还有10种其他核心蛋白表现出与发现队列的变化一致趋势。
将基于19种核心蛋白标志物血浆水平的整合模型应用于验证队列可得到同样高度准确的AD分类结果(AUC = 0.9690),且再次比血浆ATN生物标记物的模型(AUC = 0.8871)更准确(图8H)。此外,研究者再次验证,该模型生成的AD分类分数与认知能力相关(图8I,J)。因此,这些发现证实了该整合模型能够准确反映与AD相关的内表型。
最后,对两个独立队列的综合分析显示,整合模型可准确地对AD进行分类,敏感性为90.51%,特异性为90.91%(AUC=0.9594)。所得的AD分类评分和指定的AD严重程度级别也能将HC患者与AD患者区分开,并准确反映出认知能力下降。因此,这些发现共同证明了此基于19个蛋白质生物标志物组合的整合模型可以对AD和相关的内表型进行准确分类。

图8.在独立队列中验证19蛋白生物标志物组合。A,建立和评估基于19种蛋白质生物标志物整合模型的通路。B–G,发现队列中发现的血浆蛋白标志物KLK4(B),LIF-R(C),CASP-3(D),NELL1(E),CD164(F)和LYN(G)在验证队列中的表现。H,验证队列中血浆 ATN 生物标志物和 19 种蛋白生物标志物组合的ROC曲线和相应的曲线下面积 (AUC)。I,在验证队列中按表型分层的AD分类评分分布。J,验证队列中蒙特利尔认知评估(MoCA)得分与AD严重程度之间的关联。
5)19种蛋白生物标志物组可准确区分AD-tau病理学进展
与血浆ATN生物标志物相比,血浆p-tau181是一种更准确,更特异的AD血液生物标志物,可以表明脑中tau病理的进展。一致地,在我们两个独立的队列中,AD患者的血浆p-tau181水平均升高(图9A),与血浆ATN生物标记物相比,其能更为准确地对AD相关内表型进行分类。
因此,研究者随后研究了使用血浆p-tau181作为AD-tau病理指标下,19蛋白标志物模型预测p-tau状态的性能。研究者根据血浆p-tau181水平将队列分为p-tau181阴性或p-tau181阳性组,根据Youden指数得出的cutoff值为2.55 pg/mL。结果显示,19种蛋白标志物模型确定的AD严重程度水平与p-tau181状态显著相关:严重组中≈80%的个体为p-tau181阳性,而正常组中为≈20%(图9C)。
此外,由于p-tau181状态与认知表现,脑区域容量和血浆ATN生物标志物方面相比,能更准确地对AD进行分类。因此,研究者在发现和验证队列中均观察到了p-tau181阳性AD中19种血浆核心蛋白的变化更显著。具体而言,19蛋白标志物物模型可准确地区分p-tau181阳性AD患者和p-tau阴性HCs,在发现队列中AUC可达 0.9881,在验证队列中AUC达0.9863,在组合队列中AUC达=0.9844(图9D)。
因此,这些结果共同证明该19蛋白模型对tau病理分类的AD具有特别高的准确性,为开发针对AD的高度特异性的基于血液的诊断工具提供了基础。

图9.19种蛋白生物标志物模型对基于tau病理学阿尔茨海默氏病(AD)进行分类的性能。A,在中国香港AD发现和验证队列中,按AD表型分层的个体血浆P-tau181水平。B,按AD表型分层的血浆磷酸化tau(p-tau)181水平分布,血浆p-tau181水平≤2.55或> 2.55 pg / mL的个体分别分类为p-tau181阴性和p-tau181阳性。C,由19种蛋白质模型确定的AD严重性水平分层中,p-tau-(蓝色)和p-tau +(红色)个体分别在发现(左),验证(中)和组合(右)队列中的比例。D,ROC曲线显示19种蛋白生物标志物组合在发现(黄色),验证(蓝色)和组合(红色)队列中对p-tau181AD分类的性能。E,中国香港AD队列中19种蛋白生物标志物组合的ROC曲线下面积(AUC)。
6)AD中血浆核心蛋白标志物的阶段依赖性失调
AD的进展可以通过与AD相关的内表型(例如认知表现)和生物标志物水平(例如血浆p-tau181)来标记。但是由于缺乏阶段特异性的生物标志物,AD的各个阶段缺乏明确的生物学定义。本研究中的19个蛋白标志物组合中有10个与血浆p-tau181水平相关,此外还有7个也与认知(即MoCA)评分相关。
进一步研究揭示了这些血浆核心蛋白在认知能力下降和tau病理学发展过程中的变化趋势(图10)。
首先,三种核心蛋白标志物,NELL1和hK14(在脑中表达)和CETN2(在脑和周围神经系统中表达),在AD早期失调(即MoCA评分>25,血浆p-tau181水平<2.5 pg/mL),并且在疾病的整个进展过程中持续变化。
其次,LYN,PRKCQ和LIF-R的血浆水平仅在早期和/或中期发生改变(MoCA评分:10–25),在后期相对保持恒定。最后,由外周巨噬细胞表达的KLK4仅在AD晚期失调,此时个体存在严重的认知缺陷(即MoCA评分<15)和tau病理(血浆p-tau181水平>4 pg/mL)。
这结果表明某些血浆蛋白的变化(或生物学过程)与AD的特定阶段有关。因此,这些结果表明,本文鉴定的血浆核心蛋白不仅可以将AD患者与HCs准确地区分,而且更重要的是检测个体血液中这些血浆核心蛋白标志物水平的变化也许可以推断其AD发展阶段,为AD分期提供生物学注释。

图10.七种血浆核心蛋白标志物的AD阶段依赖性失调。
同时使用多种生物标志物来确定疾病状态,通常被称为“生物标志物组合”,是一种充分利用蛋白标志物的有效方法。在这项研究中,研究者通过使用Olink PEA技术对筛选和验证AD队列样本中的1160种血浆蛋白进行了分析(是迄今为止最全面的AD血浆蛋白质组研究),从而系统地研究了AD的血浆蛋白质组。
结果表明,研究者鉴定出19种与AD相关的血浆核心蛋白标志物,并据此开发了生物标志物模型,可准确对AD进行鉴定并确定AD患者的疾病严重程度。与现有的用于AD分类的血液生物标志物(如血浆ATN生物标志物,血浆p-tau181和p-tau217等)相比,该研究鉴定出的19蛋白标志物组合准确性更高,AUC可达 0.98,且其中7个蛋白与AD发展阶段相关,可用于AD疾病分期。
总之,该研究不仅为开发可用于临床环境中AD筛查和监测液体活检技术奠定了基础,还为将来的治疗方案开发提供了丰富的蛋白质靶标。
Reference:Jiang Y, Zhou X, Ip FC, et al. Large-scale plasma proteomic profiling identifies a high-performance biomarker panel for Alzheimer’s disease screening and staging. Alzheimer’s Dement. 2021;1-15https://alz-journals.onlinelibrary.wiley.com/doi/full/10.1002/alz.12369


Olink新一代蛋白质组技术由于其高灵敏度,高通量,高数据准确度的特色,在肿瘤的诊断和治疗领域均有很多应用。美国国家癌症研究所于2018年将Olink技术纳入肿瘤免疫疗法临床试验指南(CIMAC-CIDC),目前全球前二十的药企均已开始使用Olink Proteomics进行伴随诊断评价和创新疗法的开发。(NIH “CIMAC”: Cancer Immune Monitoring and Analysis Center )


JITC-联合全局和靶向蛋白组学揭示转移性皮肤黑色素瘤患者血浆蛋白与抗PD-1免疫治疗之间的新关联
为发现血浆中与免疫抑制剂治疗相关的系统性变化,并寻找与治疗结果相关的潜在生物标志物,瑞典卡罗琳斯卡医学院 (Karolinska Institute) 的研究人员借助基于Olink的靶向蛋白质组学(Olink I/O Panel)及其他方法分析了24名CM患者的连续血浆样本,并同时分析了24名接受MAPKis治疗CM患者的血浆蛋白组以确定ICI治疗的特异性血浆蛋白水平的变化;相关结果发表在JITC上。
概述: 免疫检查点抑制剂(Immune checkpoint inhibitors, ICIs)疗法,如细胞毒性T淋巴细胞相关抗原4(CTLA-4)和程序性细胞死亡蛋白1(PD-1)抑制剂,已经显著改善了转移性皮肤黑色素瘤(metastatic cutaneous melanoma, CM)患者的治疗效果。根据III期临床试验的长期随访,PD-1抑制剂如帕博利珠单抗(Pembrolizumab-默沙东公司的KEYTRUDA)、纳武单抗(Nivoluma-百时美施贵宝公司的 OPDIVO)与CTLA-4抑制剂伊匹单抗(Ipilimumab -百时美施贵宝公司的YERVOY)相比,显示出一定优越性。除了ICIs,携带BRAFv600突变的转移性皮肤黑色素瘤患者还有另一个治疗选择,即对丝裂原激活蛋白激酶抑制剂(MAPKis)的靶向治疗,包括BRAF抑制剂和MEK抑制剂(BRAFis/MEKis)。
同时,仍然有相当部分的CM患者对ICI治疗无应答或产生耐药性,即使是抗PD-1和抗CTLA-4联合治疗也有约40%的无应答率。虽然有预测治疗反应的需要,但到目前为止,临床实践中尚缺乏有效的生物标志物用于预测CM患者的抗PD-1治疗效果。通过液体活检方法获得的越来越多的证据表明,在CM疾病中不同亚克隆之间的高度异质性对治疗的应答以及对治疗的耐药性的发展均有影响。
为发现血浆中与治疗相关的系统性变化,并寻找与治疗结果相关的潜在生物标志物,瑞典卡罗琳斯卡医学院 (Karolinska Institute) 的研究人员利用基于质谱的全局蛋白组学(高分辨率等电聚焦液相色谱-质谱,HiRIEF LC-MS/MS)和基于Olink的靶向蛋白质组学(Olink 免疫-肿瘤Panel)分析了24名CM患者的连续血浆样本,并同时分析了24名接受MAPKis治疗CM患者的血浆蛋白组以确定ICI治疗的特异性血浆蛋白水平的变化。
结果显示了在抗PD-1治疗期间循环PD-1的增加,以及在抗PD-1应答者中多样化的免疫血浆蛋白组学标志。这项研究展示了血浆蛋白组学作为液体活检方法的潜力,以及在发现CM患者抗PD-1治疗的预测性生物标志物方面的价值。该项题为《In-depth plasma proteomics reveals increase in circulating PD-1 during anti-PD-1 immunotherapy in patients with metastatic cutaneous melanoma》的研究发表在学术期刊《Journal for ImmunoTherapy of Cancer》(IF:10.2)上。
研究方案:
实验设计和检测方法:
采用靶向蛋白组学工具,在研究队列中使用ICI或对比队列中使用MAPKis治疗期间,在基线和治疗前收集血浆样本。对治疗结果进行前瞻性跟踪。
基于邻近延伸检测(Olink PEA),使用Olink Immuno-Oncology I panel进行测量,总共有92个蛋白生物标志物。
基于质谱的蛋白组学分析:高分辨率等电聚焦液相色谱-质谱(HiRIEF LC-MS/MS)。

CR,完全反应;ICIs,免疫检查点抑制剂;log2-FC,log2-fold-change;NR,无反应;PR,部分反应;pre-trm,治疗前;SD,稳定疾病;trm,第一个治疗周期后;PEA,Olink邻近延伸反应。
患者特征和血浆样本:
在治疗前(pretrm)和第一个治疗周期(trm)后、第二个周期前,从接受一线ICI(即抗CTLA-4和/或抗PD-1)或MAPKis(MEKis和/或BRAFis)治疗的转移性(IV期)CM患者中收集了连续的血浆样本。样本之间的中位数为20天(范围:7-57,SD:10.26)
对治疗的最佳反应基于临床和/或放射学调查(即CT、MRI和/或正电子发射CT断层扫描),由肿瘤学家和放射学家评估。应答者被定义为完全反应(CR)或疾病稳定(SD)或部分反应(PR)(即现有转移灶的数量和/或大小减少)的患者,没有出现经影像学和/或临床检查证实的新病灶。非应答者被定义为病灶增大或经影像学和/或临床检查显示的新病灶,而之前对治疗没有任何反应的患者。

蛋白血浆水平的变化与抗PD-1治疗有关
总体而言,HiRIEF LC-MS/MS检测到1835种蛋白质,其中的1160个至少有50%的观察值。在接受抗PD-1治疗的患者中,80种蛋白在治疗期间的血浆水平有显著变化。
相比之下,Olink panel中的92个免疫肿瘤相关蛋白有77个具有至少80%的观察值,其中的23种蛋白在抗PD-1治疗期间的血浆水平发生了显著变化。
HiRIEF LC-MS/MS检测到Olink panel 92个蛋白中的10个(10.87%):PD-1、PDCD1LG2/PD-L2、TNFRSF21、CSF1、TGFB1、TEK、DCN、LGALS1、KDR和 ICOSLG;其他82个蛋白(89.23%)未能检出。
转移性皮肤黑色素瘤抗PD-1治疗期间蛋白血浆水平的变化,以火山图比较所有接受抗PD-1 ICI治疗的匹配样本患者在第一个治疗周期后与治疗前的蛋白血浆水平。(A) HiRIEF LC-MS/MS 分析 (paired t test, two sided). 虚线以上的蛋白=p<0.05,红色和虚线以上的蛋白=p<0.001(无FDR)。(B) PEA分析(paired t test, two sided)。虚线以上的蛋白=q<0.1,红色和虚线以上的蛋白=q<0.05(p<0.05,10%FDR)
抗PD-1治疗应答者的血浆蛋白组标志
根据最佳反应对患者进行分层,显示在HiRIEF数据中的抗PD-1-R亚组中,84种蛋白在治疗期间血浆水平发生了改变(P<0.05,无FDR),其中PD-1的增幅最大。
而PEA分析显示36种蛋白在治疗期间抗PD-1-R亚组有显著变化(p<0.05,10% FDR),其中22种是抗PD-1-R亚组的特异性蛋白--其中包括PD-1、IL-6和IL-10--再次显示了全局分析检测到的PD-1的显著变化。
对转移性皮肤黑色素瘤抗PD-1治疗反应的分层分析。(A)HiRIEF LC-MS/MS热图,抗PD-1-R亚组治疗期间血浆蛋白水平有统计学显著变化的蛋白,抗PD-1-NR和使用MAPKis治疗的患者治疗期间有相应的变化。(B)根据Olink PEA数据绘制的抗PD-1-R治疗过程中蛋白血浆水平统计学显著变化热图,抗PD-1-NR和MAPKis治疗的患者在治疗过程中也有相应变化。
总体上,在抗PD-1-R的治疗过程中,根据相应的生物过程的GO术语,检测到在血浆中发生变化的大部分蛋白参与T细胞反应、炎症、中性粒细胞脱颗粒和细胞粘附。在治疗过程中,几种急性期蛋白的水平都有增加,其中包括C反应蛋白(CRP)、脂多糖结合蛋白(LBP)、aptoglobin(HP)和IL-6,表明抗PD-1-R的急性炎症正在进行中。还检测到血浆中参与构建细胞和细胞外基质之间相互作用的细胞粘附蛋白(如SDC1、ITGB6和ITGB2)的水平增加。
蛋白质血浆水平可以预测无进展生存期PFS

此项研究是首次对接受ICI治疗的转移性皮肤黑色素瘤患者的血浆蛋白组进行的全面研究,为了解治疗过程中循环蛋白的变化提供了独特的见解。虽然样本量有限,但研究设计和分析方法能够确定血浆中抗PD-1治疗的特异性分子变化;同时,这项研究也侧面展示了基于PEA的Olink panel,在检测血浆蛋白组中的灵敏度较高的特点。
这项研究展示了抗PD-1治疗期间转移性CM患者血浆中循环PD-1和PD-L1水平的增加,以及多样化的免疫血浆蛋白组学标志,这需要在独立的更大队列中用靶向方法进行验证。此外,联合全局和靶向蛋白质组学显示了转移性CM患者血浆蛋白和抗PD-1治疗结果之间的新关联,以及在揭示治疗过程中的系统生物学过程方面的潜力。考虑到肿瘤的分子异质性和归因于ICI治疗的系统性分子过程,参与不同免疫相关和肿瘤衍生过程的多样化血浆蛋白组学标志物很可能提供更可靠的治疗预测。
Reference: Babačić H,et al. In-depth plasma proteomics reveals increase in circulating PD-1 during anti-PD-1 immunotherapy in patients with metastatic cutaneous melanoma. J Immunother Cancer. 2020. 8:e000204. doi: 10.1136/jitc-2019-000204. https://jitc.bmj.com/content/8/1/e000204
User License (CC BY 4.0)


感染性疾病,尤其这两年全球新冠病毒大流行,是研究的热点,Olink的蛋白质靶标库中有着和免疫反应相关的最全的炎症和相关通路蛋白库,所以是研究感染性疾病免疫反应的非常有利的工具。
Cell-COVID儿童感染者多系统炎症综合征的免疫学研究

新冠感染在儿童中通常是非常轻微的,甚至没有症状,但这一观点最近受到了挑战。在欧洲和北美报道的一种罕见的多系统炎症综合症(MIS-C)是与COVID-19相关的并发症,儿童在感染后4-6周出现高烧、器官功能障碍和炎症标志物强烈升高,最严重的情况下,还出现心脑血管性休克、脑炎和多器官衰竭,其发病机制尚不清楚。
卡罗林斯卡医学院Petter Brodin为首的研究人员近期在《Cell》上 发 表了题为 “The Immunology of Multisystem Inflammatory Syndrome in Children with COVID-19” 的文章。Brodin小组的此项研究将血浆蛋白组学(Olink)、细胞亚型分析与自身抗体筛查相结合,对这种罕见但严重的新冠并发症在年幼儿童中进行了全局性调查。他们发现,MIS-C的炎症反应不同于成人严重急性新冠的炎症反应,而与川崎病(Kawasaki disease)有类似血管炎和可能的自身免疫病因等一些共同特征。最重要的是,他们还发现了MIS-C和川崎病之间的重要差异,特别反映在参与的T细胞亚群、IL-17A的表达和与动脉损伤相关的生物标志物等方面。
研究方案:此项研究入组了41位急性新冠儿童轻症患者,13位多系统炎症综合症(MIS-C)儿童,并与新冠疫情发生之前的28位川崎病儿童患者及19位健康儿童做了比较。全面分析了血浆蛋白组(Olink), 病毒表面抗原扫描(VirScan), 自身抗体筛查(ProtoArray), ELISA以及流式细胞仪(外周血单核细胞 PBMCs与血浆样品):

结果解析:对120种血浆蛋白标志物的主成分分析(PCA)揭示了多系统炎症综合症(MIS-C)和急性重症新冠炎症反应之间的显著区别:

流式细胞仪分析不同病症样品间T细胞亚型的区别:
细胞因子分析揭示MIS-C和川崎病的血浆蛋白标志物图谱的差异(NPX, Normalized Protein eXpression- Olink 蛋白相对定量单位):

对MIS-C和川崎病儿童病例中血清反应(IgG)及病毒免疫力(VirScan)的分析:

研究展望:这些发现对多系统炎症综合症和川崎病这两种疾病的理解和可能的治疗策略具有重要意义(如针对IL-17A的治疗,IL-17A在川崎病中驱动细胞因子风暴,但在MIS-C中没有)。此外,虽然针对TNF-α和IL-6的治疗方法已被建议用于严重的成人急性新冠,但在MIS-C的儿童中,这些蛋白均未见明显升高。
Reference: Consiglio CR, et al. The Immunology of Multisystem Inflammatory Syndrome in Children with COVID-19. Cell. 2020. 183:968-981. https://doi.org/10.1016/j.cell.2020.09.016 User License (CC BY 4.0)


Science-斯坦福借助Olink技术发现不同临床严重度的新冠病毒感染患者存在免疫系统应答差异
新型冠状病毒感染(COVID-19)通常表现出一系列临床症状,大多数患者表现出轻度至中度症状,但15%的患者通常在一周内进展为需要住院的严重感染性疾病,会表现出促炎细胞因子水平升高(细胞因子风暴),少数住院患者会出现急性呼吸系统综合(ARDS),需要机械通气。然而,造成这种临床严重性差异的根本原因尚不清楚。近期,来自美国斯坦福大学医学院免疫、移植和感染研究所的Bali研究团队与来自香港大学李嘉诚医学院公共卫生学院的研究团队共同在顶级学术期刊《Science》上发表了题为《Systems biological assessment of immunity to mild versus severe COVID-19 infection in humans》的研究文章。
概述:Bali研究团队基于系统生物学方法分析了来自香港和美国佐治亚州亚特兰大的76名COVID-19患者和69名健康个体的免疫应答。作者观察到在COVID-19患者的外周血单核细胞(PBMC)中,髓样细胞中人类白细胞抗原类DR(HLA-DR)和CD86的表达受损,促炎细胞因子的表达以及浆细胞样树突状细胞中雷帕霉素(mTOR)信号传导和干扰素α(IFN-α)产生均受到抑制。单细胞转录组学也显示严重COVID-19患者的髓样细胞中HLA-DR基因,I型IFN基因,以及IFN刺激基因的转录受抑制,且与血浆PBMC转录组学和血浆中低IFN-α水平结果保持一致。相反,COVID-19患者血浆中可检测到炎症因子(包括EN-RAGE,TNFSF14和OSM)的水平升高,且与疾病的严重程度及血浆中细菌含量的增加有关。这些结果表明,COVID-19感染可能诱导了一种独特的炎症程序,其特征是从组织(很可能是肺)释放炎性因子EN-RAGE,TNFSF14和OSM,并抑制了外周血中的先天免疫系统。该研究揭示了COVID-19与人体免疫系统的相互作用,并为开发新治疗策略提供了潜在治疗靶标。
研究方案:在这项研究中,作者采用了系统生物学方法,包括白细胞质谱流式分析(Mass Cytometry)及单细胞转录组学分析(10X Genomics scRNA-Seq),外周血单核细胞(PBMC)转录组学分析(RNAseq)以及血浆细胞因子多重分析(Olink炎症因子panel,可一次性分析92种细胞和趋化因子)等技术系统性地分析了来自香港和美国佐治亚州亚特兰大的76名不同临床严重性的COVID-19患者和69名健康个体的免疫应答。
Olink部分结果解析:
作者使用Olink炎症因子panel评估了入组人群血浆样本中92种不同的细胞因子和趋化因子水平。其中共检测到71种因子在测定的动态范围内,包括IL-6,MCP-3和CXCL10在内的43种细胞因子在COVID-19感染中存在显著上调(图1)。这些结果表明,尽管血液髓样细胞和pDC中的细胞因子反应受损,但炎症分子的血浆水平仍显著上调,这提示血浆中这些细胞因子可能来源于组织而非白细胞。

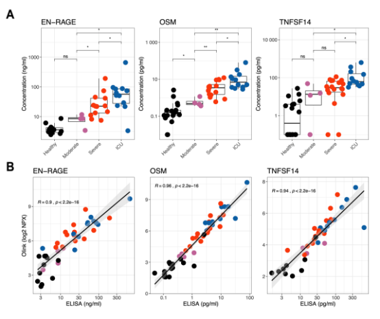
图1 基于olink技术对COVID-19患者血浆中细胞因子进行92重分析 除了已报道的IL-6和其他细胞因子外,该研究通过Olink技术还检测到三种未曾报道过,在COVID-19感染中显着增强并与临床严重程度密切相关的蛋白质(图2)。它们是TNFSF14(一种在人肺成纤维细胞中高表达并与肺组织纤维化,重塑和炎症有关的淋巴毒素B受体的配体),EN-RAGE(S100A12,与肺损伤有关的生物标志物,败血症诱导的ARDS的发病机理)和抑瘤素M (OSM,IL-6的调节剂)。值得注意的是,TNFSF14在COVID-19感染患者血浆中存在显着升高,但在其他相关的肺部感染(例如流感(flu)病毒和呼吸道合胞病毒(RSV))中则没有明显增强,表明其可能是新冠病毒独有的作用靶点。

图2.在COVID-19感染中显着增强并与临床严重程度密切相关的蛋白质 鉴于新发现的TNFSF14,EN-RAGE和OSM血浆浓度升高并与新冠感染疾病严重程度的具有明显相关性,作者使用了酶联免疫吸附测定(ELISA)来独立验证这些结果。并确认ELISA结果与Olink分析结果一致,在重症监护病房(ICU)COVID-19患者的血浆中发现了这些炎症介质的大量增加。此外,作者还发现Olink的92多重分析与ELISA单个蛋白检测结果之间存在显著相关性(一致性>0.9)(图3)。这些结果表明,COVID-19感染可能诱导了一种独特的炎症程序,其特征是从组织(很可能是肺)释放某些细胞因子,并抑制了外周血中的先天免疫系统。

图3.Olink的92多重分析与ELISA单个蛋白检测结果之间存在显著相关性
Reference:Arunachalam P S, Wimmers F, Mok C K P, et al. Systems biological assessment of immunity to mild versus severe COVID-19 infection in humans[J]. Science, 2020, 369(6508): 1210-1220.https://science.sciencemag.org/content/369/6508/1210

由于OLink的蛋白靶标库覆盖了已知所有的pathway,所以其应用不局限某类疾病,在所有的疾病种类例如本文没有提到的内分泌科,皮肤科,妇产科,骨科,甚至罕见病中等等均有广泛的应用https://www.olink.com/resources-support/publications/disease-area/。