转自Olink
非小细胞肺癌(NSCLC)
非小细胞肺癌(NSCLC)是全球癌症死亡的主要原因,随着精准医疗的发展,NSCLC的治疗已经取得了极大的进展,但对NSCLC后线的有效治疗方法仍然缺乏。安罗替尼(Anlotinib)是一种多靶点抗血管生成药物,被批准用于晚期NSCLC的三线以上治疗。在ALTER0303 临床试验中,安罗替尼显著延长了总生存期(OS)和无进展生存期 (PFS),虽然疾病控制率(DCR)为80.95%,但客观反应率(ORR)仅为9.18%。因此,筛选出对安罗替尼的疗效预测标志物是一项非常迫切的临床需求。

虎年伊始,来自中国医学科学院国家癌症中心王燕教授团队联合北京臻知医学科技公司以及无锡臻和生物科技有限公司的研究者们在Front Oncol杂志发表的最新研究进展,通过Olink 血浆蛋白组学平台,发现了7个蛋白生物标志物组合,有可能预测安罗替尼治疗非小细胞肺癌的疗效,以期提高靶向药物响应的病人分组,加速晚期非小细胞肺癌的精准治疗进程。


本研究采用Olink Immuno-Oncology panel检测晚期NSCLC患者在治疗前(Base Line)和第一次治疗评估时的血浆样本。2018年8月至2020年3月共入组52例NSCLC患者,接受安罗替尼作为二线或后线治疗,剂量为12mg/天,连用两周停一周,每三周重复,直到出现疾病进展或者无法忍受的毒副反应。根据中位无进展生存时间(PFS,176天)划分为长期缓解组(DR,PFS≥176)和非长期缓解组(NDR,PFS<176)。研究流程如下图:

收集患者的血浆样本:在治疗前(共43份基线血浆样本)和第一次治疗评估时(在第二个治疗周期后,共37对血浆样本),并采用Olink Immuno-Oncology panel检测所收集血浆样本的92种蛋白含量。
研究结果

在基线时,安罗替尼的疗效与年龄、性别、吸烟史、组织学、EGFR突变和其他临床特征没有显著相关性,PFS与蛋白生物标志物的相关性结果也都不令人满意,ROC显示各蛋白的 AUC 均小于0.7,也就是说,在治疗前,患者血浆中92个蛋白的表达水平并不能有效地预测安罗替尼的疗效。
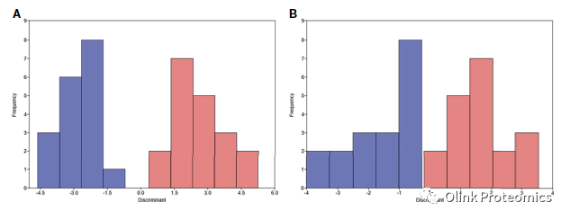
作者又分析了第一次治疗评估中92个蛋白标志物的变化与安罗替尼的疗效之间的相关性。在治疗过程中,DR组有13个蛋白质发生了显著变化,NDR组有21个蛋白发生显著变化,其中有25个蛋白质在两组中有交集。使用这25个蛋白构建的LDA(Linear Discriminant Analysis, LDA)达到了100%的准确率(下图A)。同时通过迭代减法分析,筛选出基于7个蛋白的LDA模型,对原始数据的准确率为100%(下图B)对交叉校验的准确率可以达到89.2%。

这7个蛋白分别为CD70、MIC-A/B、LAG3、CAIX、PDCD1、 MMP12和PDL2。DR组在第二个治疗周期后,血浆中CD70和MIC-A/B表达水平显著降低,而LAG3的表达水平显著升高。

针对这7种蛋白通过多因素Cox分析进一步显示,血浆中CD70 (HR25.48、95%CI、4.90- 132.41、P=0.000) 和MIC-A/B (HR15.04、95%CI、3.81–59.36、P=0.000) 的变化与预后的相关性最显著。

炎症反应是肿瘤发生的重要因素,炎症因子被认为是预测药物疗效的潜在生物标志物,可以开发出一种更广泛的生物标志物,应用于具有不同遗传背景的患者;
患者血浆中蛋白标志物的变化,可以很好的预测安罗替尼的疗效,这些结果对晚期NSCLC的治疗具有非常重要的临床意义;
本研究不仅为安罗替尼治疗NSCLC提供了一个潜在的疗效预测生物标志物,而且为晚期NSCLC患者未来的治疗策略提供了启发,也需要更多的NSCLC患者来验证基于7种蛋白的LDA模型的预测性能。
参考文献:
1. Xu F, Xu H, Wan Z, Yang G,Yang L, Wu X, Song J and Wang Y (2022) A Linear Discriminant Analysis Model Based on the Changes of 7 Proteins in Plasma Predicts Response to Anlotinib Therapy in Advanced NonSmall Cell Lung Cancer Patients. Front. Oncol. 11:756902.